1. 标题
· Assessing coincidence probability for extreme precipitation events in the Jinsha River basin
· 金沙江流域极端降雨遭遇概率评估
2. 成果信息
· Zhu S, Xu Z, Luo X, et al. Assessing coincidence probability for extreme precipitation events in the Jinsha River basin[J]. Theoretical and Applied Climatology, 2019: 1-11.
· https://link_springer.xilesou.top/article/10.1007/s00704-019-03009-1 (DOI:10.1007/s00704-019-03009-1)
· 项目支持:国家自然科学基金青年科学基金(51809242)
3. 成果团队成员
· 朱双,金沙js4399首页,水文水资源专业,研究变化环境下水循环和极端水文事件,联系方式:zhushuang@cug.edu.cn
· 徐战亚,金沙js4399首页
· 罗显刚(通讯作者),金沙js4399首页
· 王超,中国水利水电科学研究院流域水循环模拟与调控国家重点实验室
· 吴江,长江水利委员会长江科学院,水利科学研究院水资源所
4. 成果介绍
近十年来我国极端降水事件频发,引发了洪水、滑坡、泥石流、城市内涝等严重灾害。评估极端降雨事件发生频率以及多地极端降雨事件联合遭遇风险显得极为重要。已有研究应用copula构造极端强降水事件的量级和强度联合概率分布,后扩展到降水和温度的联合分布,极端降水的持续时间和量级的联合分布。然而,极端降雨事件的多站联合风险以及临近特性还没有完全揭示。在长江流域,若上游和中游地区同时发生暴雨事件,全流域洪水将会猛涨且难以消退,获得上下游极端降水的最大可能频率和遭遇风险至关重要。
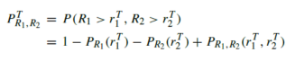
本文以长江上游金沙江流域为例研究了极端降水的多维遭遇风险。拟合长期极端降雨序列的量级分布和发生时间间隔的边际分布;建立二维和三维copula模型,联合量级和时间间隔;评估多个地点极端降水的超越概率和一致性概率。超越概率代表两个站都发生大于一定量级极端降雨(如20、50、100年一遇)的概率:
一致性概率代表两个站都发生大于一定量级极端降雨,且间隔时间在dt以内的概率:
金沙江流域
图1 金沙江流域位置及气象站点分布
研究结果
从33个站点中任意选择两个不同的站点,共有528个站点对。用GEV分布拟合每个站点的极端降雨量级的边缘分布,构建528个copula模型。tau系数是一个统计值,用于测量两个变量之间的关联。图2显示了不同测站组合之间的空间依赖性。该图显示,空间上对其他站点的依赖性大的站点位于下游(站点22、23、25、28、30、31、33)。上游站(1-6)和流域外部站点(19、27、32号站)对其他站的依赖性较小。对于每个主站,选择依赖度最高的站作为从站,分析极端降雨超越和一致性概率。

图2 主站(红点)和从站(圈)的依赖强度
依次选择33个气象站作为主站,并选择对主站依赖性最强的气象站作为从站,分析发生2年一遇,5年一遇,10年一遇,20年一遇,50年一遇,100年一遇降雨的超越概率。结果在表1中列出。发现不同站点组合的极端降水超越概率接近,具有最高超越概率的站点组合为27和33,其次是25和7。
表1 不同返回期极端降雨的联合超越概率

构造三维copula进行一致性概率分析:主站的降水极值,从站的极值和两个站极值出现时间的间隔。GEV模拟量级的边际分布,极端降雨发生时间的间隔采用混合的von Mises分布拟合,最大似然估计(MLE)方法进行copula参数估计。图3显示了6和23站点组合的降雨一致性概率与时间间隔的关系。时间间隔从1天增加到90天,一致性概率持续增加,且两个站点之间的极端降雨主要发生在30天内。固定30天时间间隔,33种气象站组合中,具有最高概率的三个测站组合为6和23、2和30以及7和25。具有最低概率的三个测站组合为9和12、11和5以及32和24。结果表明时间间隔是研究两地极端降雨联合风险以及水利规划设计时要考虑的重要问题。
图3 不同时间间隔时的降雨一致性概率